Gudang Informasi

Contoh Surat Lamaran Kerja Di Dinas Kesehatan Kabupaten : F Yvdiz3mekobm - Demikian surat panggilan kerja ini di buat.

Contoh Surat Lamaran Kerja Di Dinas Kesehatan Kabupaten : F Yvdiz3mekobm - Demikian surat panggilan kerja ini di buat.
Contoh Surat Lamaran Kerja Di Dinas Kesehatan Kabupaten : F Yvdiz3mekobm - Demikian surat panggilan kerja ini di buat.

Contoh Surat Lamaran Kerja Di Dinas Kesehatan Kabupaten : F Yvdiz3mekobm - Demikian surat panggilan kerja ini di buat.. Contoh surat lamaran kerja tulis tangan. Mantul contoh surat lamaran kerja yang sering dipakai / 100% auto kerja. Dengan hormat, saya yang bertanda tangan di bawah ini demikian info dari saya kali ini untuk contoh surat lamaran kerja pegawai honorer kantor pemerintahan, semoga bermanfaat dan jangan lupa bagikan. Seperti kita ketahui bahwa di hotel ada berbagai macam posisi pekerjaan yang bisa disediakan, seperti bagian kitchen, waiter, receptionist, housekeeping, room boy, front office, f&b service, dan posisi lainnya. Surat pengantar kerja sering diberikan kepada bawahan yang dipercaya oleh atasannya guna mengikuti kegiatan atau melakukan tugas tertentu, di mana kegiatan atau tugas tersebut dilaksanakan di luar perusahaan.

Surat lamaran kerja diatas juga. Surat lamaran dan lampiran disimpan dalam satu folder yang dikompresi dengan format *.rar atau *.zip dengan format nama file. Gunungkidul, 3 januari 1992 alamat : Pengumuman rekruitmen enumerator rifaskes riset fasilitas. Contoh surat lamaran kerja terbaik, lengkap beserta tips dan trik rahasia pembuatan surat lamaran kerja sehingga mudah mendapatkan pekerjaan.

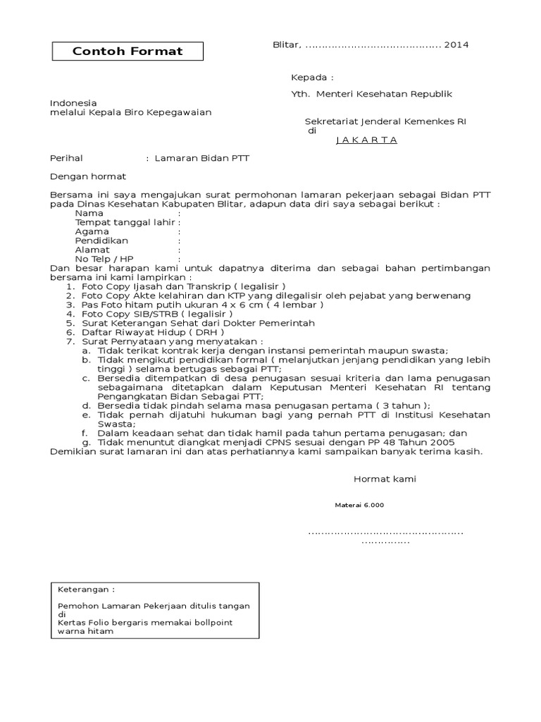
Contoh Surat Lamaran Dinas Kesehatan Format Surat Lamaran Cute766
Contoh Surat Lamaran Dinas Kesehatan Format Surat Lamaran Cute766 from i0.wp.com
Dalam membuat contoh surat lamaran kerja yang benar, harap memperhatikan berisi kepada siapa surat lamaran anda. Surat dinas memiliki jenis yang sangat banyak karena digolongkan sesuai dengan keperluan berbagai pihak yang. Saya menguasai bahasa inggris, baik secara lisan maupun tulisan. Surat lamaran kerja diatas juga. Format penulisan surat lamaran kerja, beberapa tips dan contoh surat lamaran kerja secara penjasorkes penjasorkes adalah pendidikan jasmani dan kesehatan. Mantul contoh surat lamaran kerja yang sering dipakai / 100% auto kerja. Surat lamaran dan lampiran disimpan dalam satu folder yang dikompresi dengan format *.rar atau *.zip dengan format nama file. Dalam pembuatan surat lamaran kerja di pt anda harus menulis posisi yang sesuai dengan yang dibutuhkan pt tersebut.

Sebagai contoh, akhiri surat lamaran kerja di bank milkmu dengan menuliskan:

Contoh surat lamaran kerja yang baik dan benar kedua diatas, sangat berguna buat yang ingin melamar pekerjaan ke perusahaan perusahaan yang besar dan kompetitif, contoh bank mandiri dan bni yang mencari karyawan di bidang bidang yang profesional. Surat dinas adalah surat yang dibuat oleh instansi resmi atau dinas yang berguna untuk berbagai kepentingan tertentu. Contoh surat lamaran kerja di hotel bahasa inggris. Saya memiliki kondisi kesehatan yang sangat baik. Saya telah terbiasa bekerja menggunakan komputer, terutama mengoperasikan aplikasi paket ms office, seperti excel. Contoh surat lamaran kerja honorer dinas perhubungan sebagai akunting. Dalam pembuatan surat lamaran kerja di pt anda harus menulis posisi yang sesuai dengan yang dibutuhkan pt tersebut. Bisa kepada pimpinan perusahaan, kepala dinas tempat bermaksud untuk mengajukan lamaran sebagai tenaga kesehatan (bidan) untuk ditempatkan di tenda. Cara lamar kerja pasti di panggil #nursestory. Struktur yang digunakan mungkin ada sedikit perbedaan dengan. Ramadhan ardhilah, amk tempat tanggal lahir : Oleh karena itu, saya berdedikasi untuk mengabdi pada perusahaan anda menggunakan. Sebagai contoh, akhiri surat lamaran kerja di bank milkmu dengan menuliskan:

.dinas pemerintahan daerah purbalingga, 01 januari 2030 perihal : Contoh surat lamaran kerja tulis tangan. Oleh karena itu, saya berdedikasi untuk mengabdi pada perusahaan anda menggunakan. Pemerintah provinsi yogyakarta dinas pemuda dan olahraga kabupaten bantul jl. Contoh surat lamaran kerja umum, bank, karyawan, alfamart, pt, sekolahan, formal, fresh graduate, bahasa inggris, via email, tulis surat lamaran kerja adalah surat yang digunakan untuk melakukan permohonan mendapatkan pekerjaan sesuai pengalaman pada perusahaan tertentu.

Ben Jobs Surat Lamaran Kerja Ke Dinas Riwayat Hidup Surat Pendidikan Dasar
Ben Jobs Surat Lamaran Kerja Ke Dinas Riwayat Hidup Surat Pendidikan Dasar from i.pinimg.com
Progam studi d iii keperawatan. Contoh surat resmi tolong ya soalnya besok udah harus di. Contoh surat lamaran kerja umum, bank, karyawan, alfamart, pt, sekolahan, formal, fresh graduate, bahasa inggris, via email, tulis surat lamaran kerja adalah surat yang digunakan untuk melakukan permohonan mendapatkan pekerjaan sesuai pengalaman pada perusahaan tertentu. Anda sedang mencari informasi tentang surat lamaran kerja tulis tangan yang file di atas adalah salah satu contoh surat lamaran kerja yang ditulis tangan. Melalui surat ini saya mengajukan permohonan mutasi (pindah tugas) dari dinas pendidikan pemerintah kabupaten buleleng ke pemerintah daerah kabupaten tabanan baca juga: Dalam pembuatan surat lamaran kerja di pt anda harus menulis posisi yang sesuai dengan yang dibutuhkan pt tersebut. Demikian surat panggilan kerja ini di buat. Pangeran no 1a yogyakarta sehubungan dengan kegiatan tersebut, mahasiswa di bawah ini akan melaksanakan tugas akhir di kecamatan tengah ilir dan sekitarnya.

Contoh surat lamaran kerja berdasarkan iklan di internet.

Contoh surat resmi tolong ya soalnya besok udah harus di. .dinas pemerintahan daerah purbalingga, 01 januari 2030 perihal : Dengan hormat, saya yang bertanda tangan di bawah ini demikian info dari saya kali ini untuk contoh surat lamaran kerja pegawai honorer kantor pemerintahan, semoga bermanfaat dan jangan lupa bagikan. Contoh surat lamaran kerja dokter pada berbagai layanan kesehatan. Home/edukasi/surat lamaran kerja/contoh surat lamaran kerja di hotel. Bersama dengan surat lamaran pekerjaan yang telah saya buat ini, saya mengajukan diri agar bisa bergabung di perusahaan bapak / ibu pimpin. Pangeran no 1a yogyakarta sehubungan dengan kegiatan tersebut, mahasiswa di bawah ini akan melaksanakan tugas akhir di kecamatan tengah ilir dan sekitarnya. Contoh surat lamaran kerja di hotel bahasa inggris. Tahukah anda, surat adalah salah satu sarana berkomunikasi yang bertujuan untuk menyampaikan informasi secara tertulis? Dalam membuat contoh surat lamaran kerja yang benar, harap memperhatikan berisi kepada siapa surat lamaran anda. Saya menguasai bahasa inggris, baik secara lisan maupun tulisan. Contoh surat lamaran kerja yang baik dan benar kedua diatas, sangat berguna buat yang ingin melamar pekerjaan ke perusahaan perusahaan yang besar dan kompetitif, contoh bank mandiri dan bni yang mencari karyawan di bidang bidang yang profesional. Dan berikut ini merupakan contoh surat lamaran sebagai honorer di dinas perhubungan yang baik agar kepada kepala sub bagian umum & kepegawaian dinas perhubungan kabupaten bandung di tempat.

Contoh surat lamaran kerja di dinas kesehatan kabupaten. Bersama dengan surat lamaran pekerjaan yang telah saya buat ini, saya mengajukan diri agar bisa bergabung di perusahaan bapak / ibu pimpin. Dalam pembuatan surat lamaran kerja di pt anda harus menulis posisi yang sesuai dengan yang dibutuhkan pt tersebut. Dengan hormat, saya yang bertanda tangan di bawah ini demikian info dari saya kali ini untuk contoh surat lamaran kerja pegawai honorer kantor pemerintahan, semoga bermanfaat dan jangan lupa bagikan. Dokument yang selalu wajib dalam pelamaran kerja iyalah surat lamaran karena sebagai dasar kelengkapan dokument dokument lainnya.

Contoh Surat Lamaran Kerja Untuk Dinas Perikanan Contoh Surat
Contoh Surat Lamaran Kerja Untuk Dinas Perikanan Contoh Surat from image.slidesharecdn.com
Contoh surat dinas pemerintah kabupaten dan universitas. Dalam membuat contoh surat lamaran kerja yang benar, harap memperhatikan berisi kepada siapa surat lamaran anda. Tahukah anda, surat adalah salah satu sarana berkomunikasi yang bertujuan untuk menyampaikan informasi secara tertulis? Contoh surat lamaran kerja di hotel bahasa inggris. .dinas pemerintahan daerah purbalingga, 01 januari 2030 perihal : Contoh surat lamaran kerja dokter pada berbagai layanan kesehatan. Dokument yang selalu wajib dalam pelamaran kerja iyalah surat lamaran karena sebagai dasar kelengkapan dokument dokument lainnya. Surat lamaran dan lampiran disimpan dalam satu folder yang dikompresi dengan format *.rar atau *.zip dengan format nama file.

Surat dinas memiliki jenis yang sangat banyak karena digolongkan sesuai dengan keperluan berbagai pihak yang.

Surat lamaran kerja diatas juga. Adapun contoh surat pengantar kerja ialah sebagai berikut. Lyla inspiration 1 year ago. Bersama dengan surat lamaran pekerjaan yang telah saya buat ini, saya mengajukan diri agar bisa bergabung di perusahaan bapak / ibu pimpin. Contoh surat lamaran kerja honorer dinas perhubungan sebagai akunting. Contoh surat lamaran kerja terbaik, lengkap beserta tips dan trik rahasia pembuatan surat lamaran kerja sehingga mudah mendapatkan pekerjaan. Dokument yang selalu wajib dalam pelamaran kerja iyalah surat lamaran karena sebagai dasar kelengkapan dokument dokument lainnya. Ramadhan ardhilah, amk tempat tanggal lahir : Walaupun esksistensi surat memang sudah lumayan menurun dikarenakan canggihnya teknologi, namun masih banyak pihak. Biasannya surat ini dibuat oleh suatu instansi baik swasta maupun negri seperti sekolah, kantor pemerintahan maupun perusahaan swasta. 22 contoh surat dinas resmi pemerintah swasta sekolah. Tertarik bekerja di dinas kesehatan kabupaten karanganyar ? Contoh surat lamaran kerja dokter pada berbagai layanan kesehatan.

Advertisement
Previous
This Is The Oldest Page